Упр.40 ГДЗ Макарычев Миндюк 9 класс (Алгебра)
Решение #1
Решение #2
Решение #3

Рассмотрим вариант решения задания из учебника Макарычев, Миндюк, Нешков 9 класс, Просвещение:
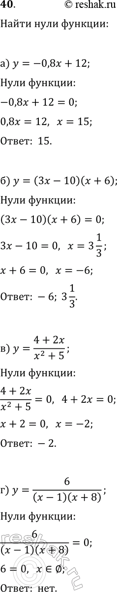
40 Найдите нули функции (если они существуют):
а) y=-0,8x+12;
б) y=(3x-10)(x+6);
в) y=(4+2x)/(x2+5);
г) y=6/(x-1)(x+8).
*размещая тексты в комментариях ниже, вы автоматически соглашаетесь с пользовательским соглашением