Упр.905 ГДЗ Макарычев Миндюк 9 класс (Алгебра)
Решение #1
Решение #2

Рассмотрим вариант решения задания из учебника Макарычев, Миндюк, Нешков 9 класс, Просвещение:
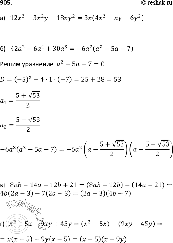
905. Разложите на множители:
а) 12х3 - 3х2у - 18ху2;
б) 42а5 - 6а4 + 30а3;
в) 8ab - 14а - 12b + 21;
г) х2 - 5х - 9ху + 45у.
*размещая тексты в комментариях ниже, вы автоматически соглашаетесь с пользовательским соглашением