Упр.903 ГДЗ Макарычев Миндюк 9 класс (Алгебра)
Решение #1
Решение #2

Рассмотрим вариант решения задания из учебника Макарычев, Миндюк, Нешков 9 класс, Просвещение:
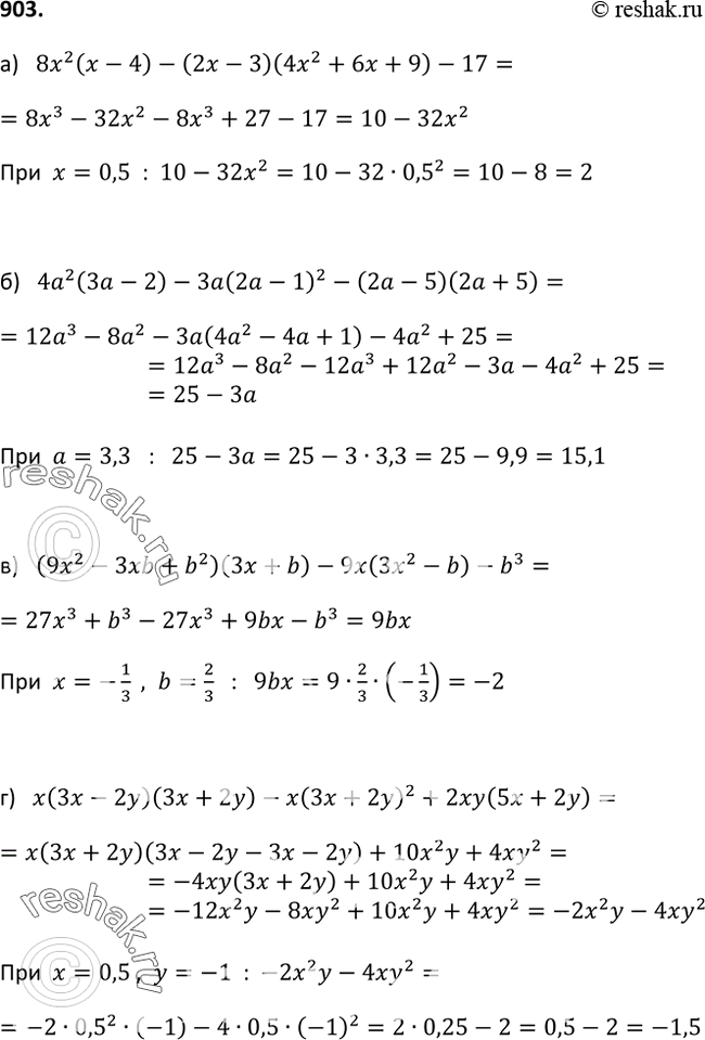
903. Найдите значение выражения:
а) 8x2(x - 4) - (2х - 3)(4x2 + 6х + 9) - 17 при x = 0,5;
б) 4а2(3а - 2) - За(2а - 1)2 - (2а - 5)(2а 4- 5) при а = 3,3;
в) (9x2 - 3хb + b2)(3х + b) - 9х(3x2 - b) - b3 при x = -1/3, b = 2/3;
г) x(3x - 2у)(3х + 2у) - х(3х + 2у)2 + 2ху(5х + 2у) при x = 0,5, у = -1.
*размещая тексты в комментариях ниже, вы автоматически соглашаетесь с пользовательским соглашением