Упр.902 ГДЗ Макарычев Миндюк 9 класс (Алгебра)
Решение #1
Решение #2

Рассмотрим вариант решения задания из учебника Макарычев, Миндюк, Нешков 9 класс, Просвещение:
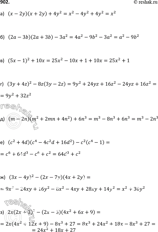
902. Преобразуйте в многочлен:
а) (х - 2у)(х + 2у) + 4у2;
б) (2а - 3b)(2а + 3b) - 3а2;
в) (5x - 1)2 + 10x;
г) (3у + 4z)2 - 8z(3y - 2z);
д) (m - 2n)(m2 + 2mn + 4n2) + 6n3;
е) (с2 + 4d)(c4 - 4c2d + 16d2) - с2(с4 - 1);
ж) (3x - 4у)2 - (2х - 7у)(4х + 2у);
з) 2x(2x + 3)2 - (2х - 3)(4х2 + 6x + 9).
*размещая тексты в комментариях ниже, вы автоматически соглашаетесь с пользовательским соглашением