Упр.87 ГДЗ Макарычев Миндюк 9 класс (Алгебра)
Решение #1
Решение #2
Решение #3
Решение #4

Рассмотрим вариант решения задания из учебника Макарычев, Миндюк, Нешков 9 класс, Просвещение:
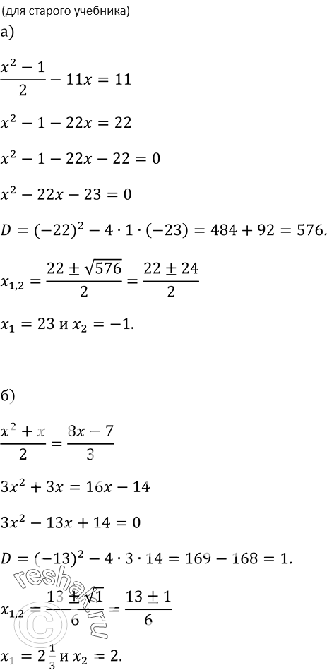
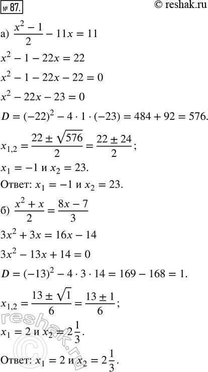
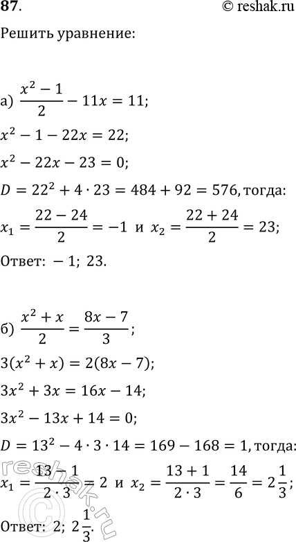
87. Решите уравнение:
а) x^2-1/2 - 11x = 11
б) x^2+x/2 = 8x-7/3
в) x-3 = 1-x^2/3
г) 2-x^2/7 = x/2
*размещая тексты в комментариях ниже, вы автоматически соглашаетесь с пользовательским соглашением