Упр.54 ГДЗ Макарычев Миндюк 9 класс (Алгебра)
Решение #1
Решение #2
Решение #3

Рассмотрим вариант решения задания из учебника Макарычев, Миндюк, Нешков 9 класс, Просвещение:
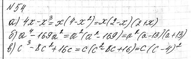
54. Разложите на множители многочлен:
а) 4x - x3; б) а4 - 169а2; в) с3 - 8с2 + 16с.
*размещая тексты в комментариях ниже, вы автоматически соглашаетесь с пользовательским соглашением