Упр.56 ГДЗ Макарычев Миндюк 9 класс (Алгебра)
Решение #1
Решение #2
Решение #3

Рассмотрим вариант решения задания из учебника Макарычев, Миндюк, Нешков 9 класс, Просвещение:
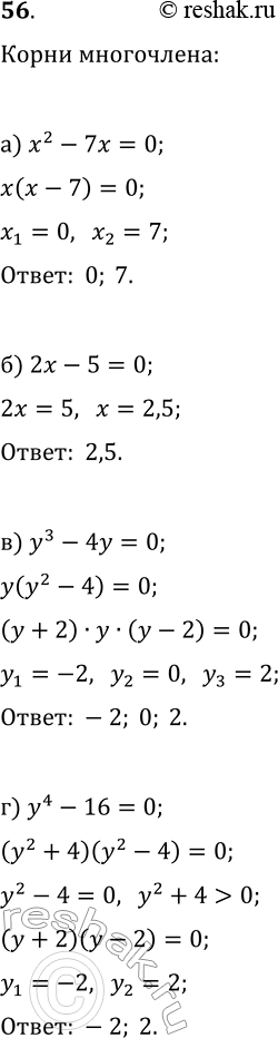
56. Найдите корни многочлена:
а) х2 - 7х; б) 2х - 5; в) y3 - 4у; г) y4 - 16.
*размещая тексты в комментариях ниже, вы автоматически соглашаетесь с пользовательским соглашением