Упр.48 ГДЗ Макарычев Миндюк 9 класс (Алгебра)
Решение #1
Решение #2
Решение #3

Рассмотрим вариант решения задания из учебника Макарычев, Миндюк, Нешков 9 класс, Просвещение:
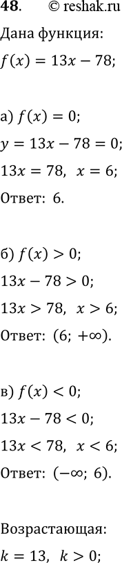
48. Функция задана формулой f(x) = 13х - 78. При каких значениях х:
a) f(x) = 0;
б) f(x) > 0;
в) f(x) < 0?
Является ли функция возрастающей или убывающей?
*размещая тексты в комментариях ниже, вы автоматически соглашаетесь с пользовательским соглашением