Упр.1080 ГДЗ Макарычев Миндюк 9 класс (Алгебра)
Решение #1
Решение #2

Рассмотрим вариант решения задания из учебника Макарычев, Миндюк, Нешков 9 класс, Просвещение:
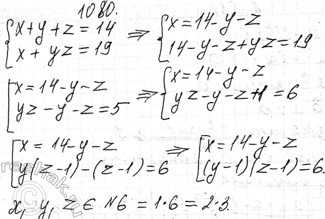
1080 Решите в натуральных числах систему уравнений
система
х + у + z = 14,
х + yz = 19.
*размещая тексты в комментариях ниже, вы автоматически соглашаетесь с пользовательским соглашением