Упр.1086 ГДЗ Макарычев Миндюк 9 класс (Алгебра)
Решение #1
Решение #2

Рассмотрим вариант решения задания из учебника Макарычев, Миндюк, Нешков 9 класс, Просвещение:
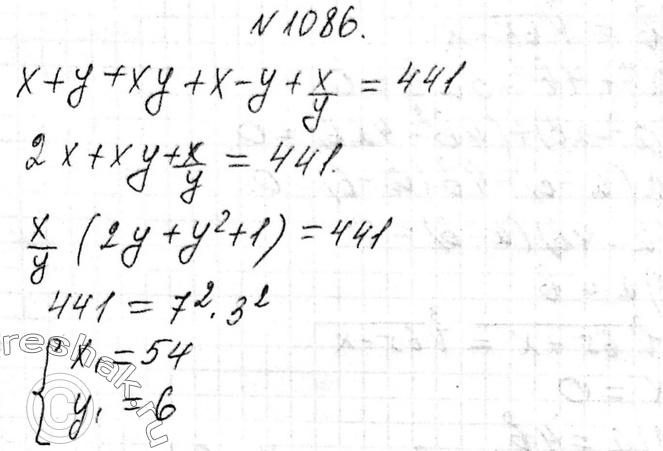
1086 Взяли два различных натуральных числа. Эти числа сложили, перемножили, вычли из большего данного числа меньшее и разделили большее на меньшее. Оказалось, что сумма всех четырёх результатов равна 441. Найдите эти числа.
*размещая тексты в комментариях ниже, вы автоматически соглашаетесь с пользовательским соглашением