Упр.1079 ГДЗ Макарычев Миндюк 9 класс (Алгебра)
Решение #1
Решение #2

Рассмотрим вариант решения задания из учебника Макарычев, Миндюк, Нешков 9 класс, Просвещение:
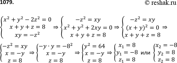
1079 Решите систему уравнении
система
х2 + у 2 - 2z2 = 0,
х + у + z = 8,
ху = -z2.
*размещая тексты в комментариях ниже, вы автоматически соглашаетесь с пользовательским соглашением