Упр.1044 ГДЗ Макарычев Миндюк 9 класс (Алгебра)
Решение #1
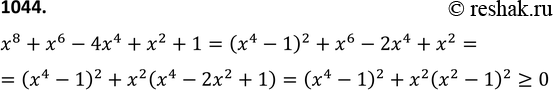
Решение #2

Рассмотрим вариант решения задания из учебника Макарычев, Миндюк, Нешков 9 класс, Просвещение:
1044 Докажите, что многочлен х8 + х6 - 4х4 + х2 + 1 не принимает отрицательных значений.
*размещая тексты в комментариях ниже, вы автоматически соглашаетесь с пользовательским соглашением