Упр.1048 ГДЗ Макарычев Миндюк 9 класс (Алгебра)
Решение #1
Решение #2

Рассмотрим вариант решения задания из учебника Макарычев, Миндюк, Нешков 9 класс, Просвещение:
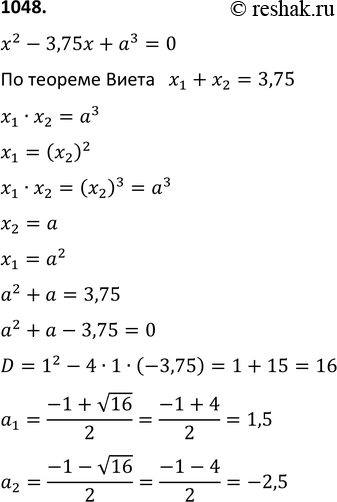
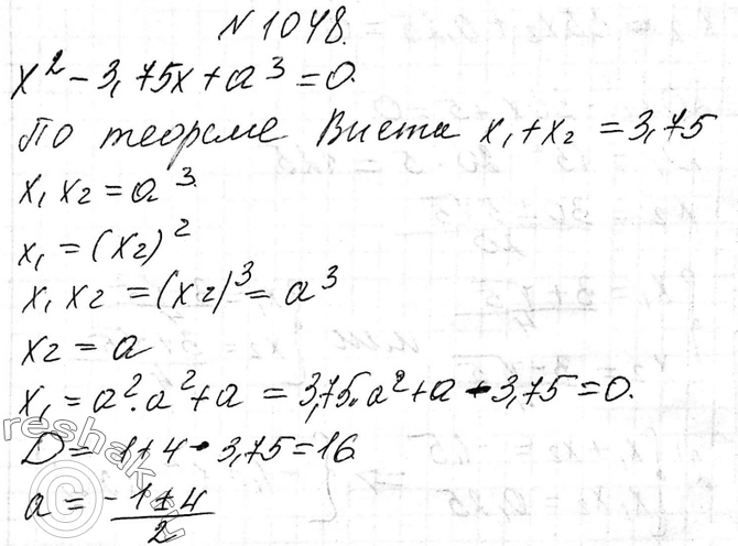
1048. Найдите значения а, при которых один из корней уравнения х2 - 3,75x + а3 = 0 является квадратом другого.
*размещая тексты в комментариях ниже, вы автоматически соглашаетесь с пользовательским соглашением