Упр.67 ГДЗ Макарычев Миндюк 9 класс (Алгебра)
Решение #1
Решение #2
Решение #3

Рассмотрим вариант решения задания из учебника Макарычев, Миндюк, Нешков 9 класс, Просвещение:
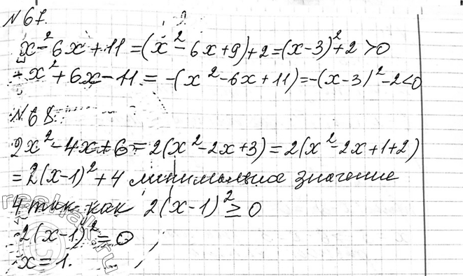
67 Даны квадратные трёхчлены
x2 — 6x + 11 и -х2 + 6x - 11.
Докажите, что первый из них не принимает отрицательных значений, а второй — положительных.
*размещая тексты в комментариях ниже, вы автоматически соглашаетесь с пользовательским соглашением