Упр.995 ГДЗ Макарычев Миндюк 9 класс (Алгебра)
Решение #1
Решение #2

Рассмотрим вариант решения задания из учебника Макарычев, Миндюк, Нешков 9 класс, Просвещение:
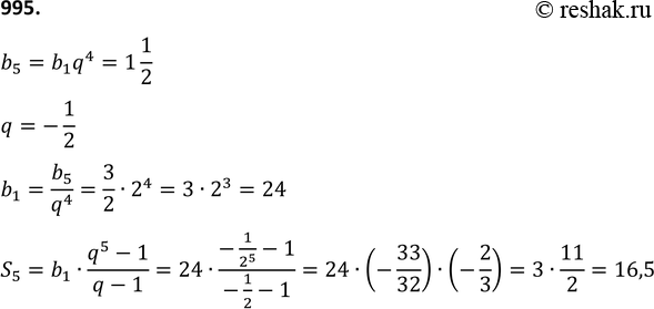
995. Пятый член геометрической прогрессии (bn) равен 1*1/2, a знаменатель прогрессии равен - 1/2. Найдите сумму первых пяти членов этой прогрессии.
*размещая тексты в комментариях ниже, вы автоматически соглашаетесь с пользовательским соглашением