Упр.985 ГДЗ Макарычев Миндюк 9 класс (Алгебра)
Решение #1
Решение #2

Рассмотрим вариант решения задания из учебника Макарычев, Миндюк, Нешков 9 класс, Просвещение:
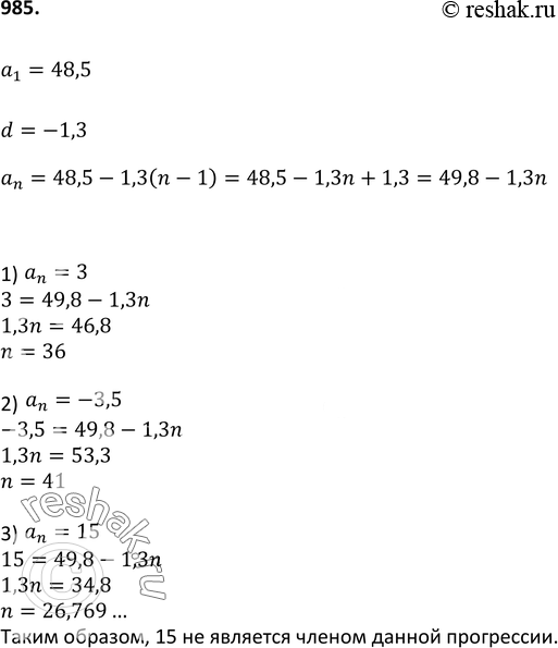
985. Найдите номер члена арифметической прогрессии (аn), равного 3, если а1 = 48,5 и d = -1,3. Является ли членом этой прогрессии число -3,5; 15?
*размещая тексты в комментариях ниже, вы автоматически соглашаетесь с пользовательским соглашением