Упр.974 ГДЗ Макарычев Миндюк 9 класс (Алгебра)
Решение #1
Решение #2

Рассмотрим вариант решения задания из учебника Макарычев, Миндюк, Нешков 9 класс, Просвещение:
974. Решите систему уравнений:
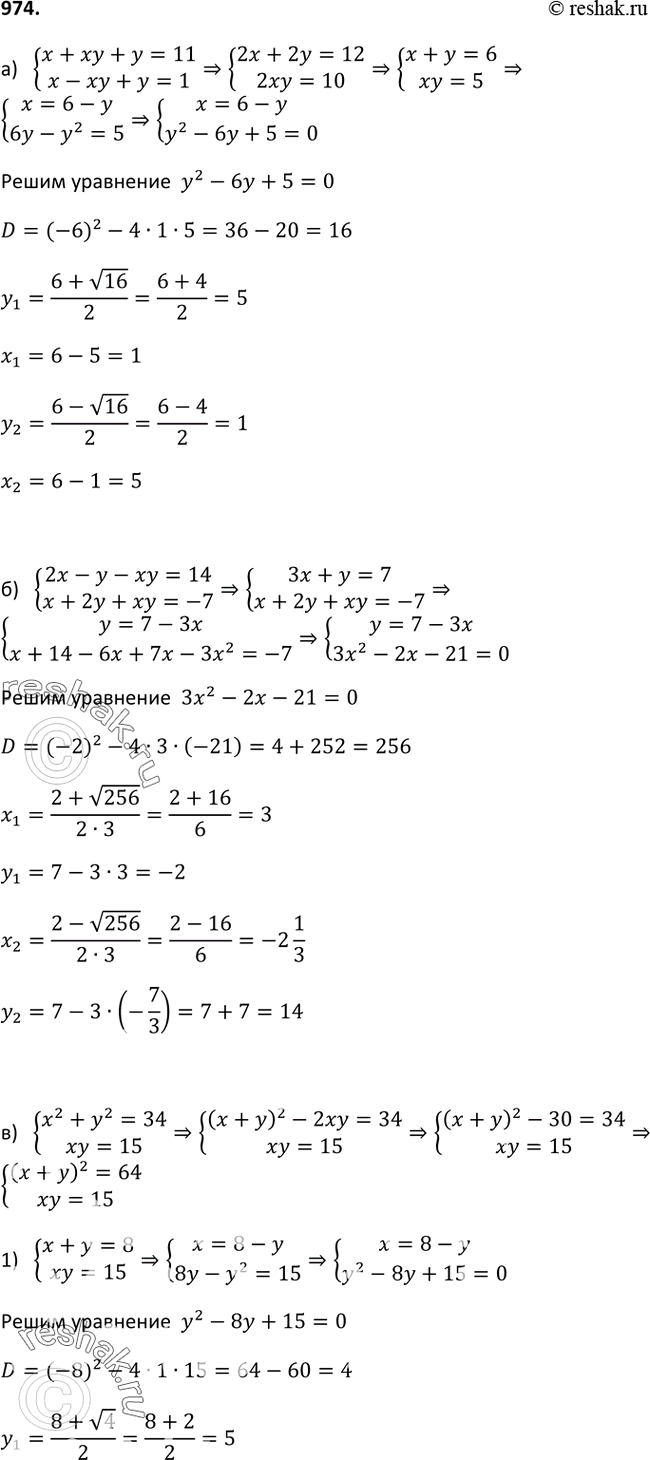
а) система
x+xy+y=11,
x-xy+y=1;
б) система
2x-y-xy=14,
x+2y+xy=-7;
в) система
x2+y2=34,
xy=15;
г) система
x2-y2=12,
xy=8.
*размещая тексты в комментариях ниже, вы автоматически соглашаетесь с пользовательским соглашением