Упр.885 ГДЗ Макарычев Миндюк 9 класс (Алгебра)

Решение #1

Изображение 885. Докажите равенство:а) корень (19 - 6 корень 10) = (корень 10) - 3;	б) корень (23 -	8 (корень 7) =	4 - корень...

Решение #2

Изображение 885. Докажите равенство:а) корень (19 - 6 корень 10) = (корень 10) - 3;	б) корень (23 -	8 (корень 7) =	4 - корень...
Загрузка...

Рассмотрим вариант решения задания из учебника Макарычев, Миндюк, Нешков 9 класс, Просвещение:
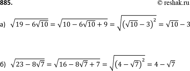
885. Докажите равенство:
а) корень (19 - 6 корень 10) = (корень 10) - 3; б) корень (23 - 8 (корень 7) = 4 - корень 7.
*Цитирирование задания со ссылкой на учебник производится исключительно в учебных целях для лучшего понимания разбора решения задания.
*размещая тексты в комментариях ниже, вы автоматически соглашаетесь с пользовательским соглашением