Упр.432 ГДЗ Макарычев Миндюк 9 класс (Алгебра)
Решение #1
Решение #2

Рассмотрим вариант решения задания из учебника Макарычев, Миндюк, Нешков 9 класс, Просвещение:
432. Решите систему уравнений:
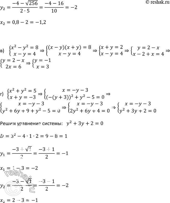
а) система
x+y=8,
xy=-20;
б) система
x-y=0,8,
xy=2,4;
в) система
x2-y2=8,
x-y=4;
г) система
x2+y2=5,
x+y=-3
*размещая тексты в комментариях ниже, вы автоматически соглашаетесь с пользовательским соглашением