Упр.168 ГДЗ Макарычев Миндюк 9 класс (Алгебра)
Решение #1
Решение #2
Решение #3

Рассмотрим вариант решения задания из учебника Макарычев, Миндюк, Нешков 9 класс, Просвещение:
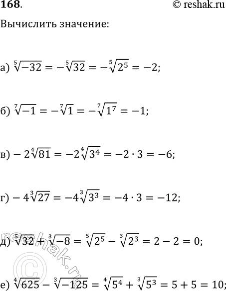
168. Найдите значение выражения:
а) корень 5 степени -32;
б) корень 7 степени -1;
в) -2 корень 4 степени 81;
г) -4 корень 3 степени 27;
д) корень 5 степени 32 + корень 3 степени -8;
е) корень 4 степени 625 - корень 3 степени -125.
*размещая тексты в комментариях ниже, вы автоматически соглашаетесь с пользовательским соглашением