Упр.1015 ГДЗ Макарычев Миндюк 9 класс (Алгебра)
Решение #1
Решение #2

Рассмотрим вариант решения задания из учебника Макарычев, Миндюк, Нешков 9 класс, Просвещение:
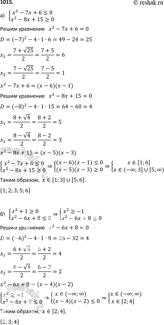
1015. Найдите целые решения системы неравенств:
а) система
x2-7x+6<=0,
x2-8x+15>=0;
б) система
x2+1>=0,
x2-6x+8<=0.
*размещая тексты в комментариях ниже, вы автоматически соглашаетесь с пользовательским соглашением